Fairness and Early Adopters

“Price inflation”, i.e price going down/ a reduction in purchasing power drives people away. However, “Monetary inflation” ( what you’re referring to) does not = Price inflation ( unless demand remains the same/ or less) Just because a coin has a high monetary inflation rate does not necessarily mean it’s price will go down and just because a coin has a low monetary inflation rate, does not necessarily mean it’s price will go up( How many rekt projects are there with very low monetary inflation rates? There’s a red sea fill of them. So many in the crypto space have been conditioned by Bitcoin to think that low monetary inflation/ a fixed supply is the only way to create value. Just like so many have been conditioned to think a halving event or reduction in block subsidy always leads to price appreciation- Which might have happened in the past, but that doesn’t mean it’s going to happen in the future and it doesn’t mean it’s going to happen with an altcoin just because it’s copied Bitcoin’s monetary policy. Reducing inflation impacts( hurts) network security which will eventually cause the opposite of it’s desired effect( price depreciation).

Inflation. Inflation. Inflation. Inflation. Inflation. Inflation

2 Likes

By rewarding late adopters, you are effectively PUNISHING EARLY ADOPTERS

You build all your arguments on top of this idea. This is a false statement. 1 grin is 1 grin, you can mine it now and 140 years later, nobody is punished, you still have your 1 grin.

1 Like

This argument is ridiculous. That’s like saying $1 in 1919 is the same as $1 in 2019 without accounting for inflation. I wonder if anyone in these forums has taken a basic economics class.

I highly recommend you read up on what inflation did to the country of Venezuela and their currency Bolivar.

Except that Grin is disinflationary (yearly rate of inflation going to zero), the opposite of hyperinflation.

2 Likes

Inflation of Grin never goes to 0% unlike Bitcoin which has a fixed future supply. The future supply of Grin is not fixed.

Please state facts.

Also, my point about Venezuela is that inflation does matter. I am not comparing Grin to the Bolivar. I am merely stating the point that inflation has an important impact on any currency, even cryptocurrencies.

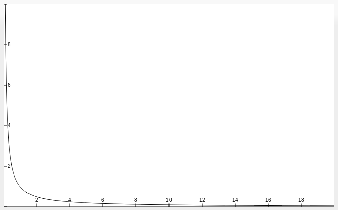
I don’t know about you, but to me it looks like inflation is going towards zero.

image

3 Likes

Excellent point, another example is an inflationary coin bitcoin in 2011 and 2019, oh wait, maybe it’s not about supply grow per se?

1 Like

Still not 0. Try again.

Grins supply is not fixed which Inherently makes 0% inflation impossible. Grin has no cap on supply Unlike Bitcoin which has a 21M fixed supply. Please do not spread falsehoods.

I see now, thanks for the enlightenment! Because Grin’s emission is constant the unlimited supply will drive the value down to the ground. I thank God that our emission is at least not increasing. Imagine how bad it would be if it were actually constantly increasing similar to something as worthless as gold:

3 Likes

Enlightenment? Lol.

While you’re at it, you might want to read up on an astonishing new economic concept called “supply and demand”.

It’s appalling to see the amount of nonsense and ignorance spewed by some of the most respected people in the Grin community. It seems like no one in this Grin echo chamber has ever taken an basic Econ course. Unbelievable.

If you’re saying that there is the same amount of demand for Grin as Gold, then yes, you have a point. But that’s a fantasy of course. Who would want to own Grin? Very few people even know or care about it (compared to Gold). And the very few who did (if they’re still holding their coins) are all sitting on huge 80-90% losses if they got in at the start (miners, investors, etc). Great way to reward early adopters!

What’s supply and demand? Never heard of that.

lol. you have a handful of anecdotes of early adopters benefitting in one specific way in one specific genre of speculative investments.

in the rest of the real world, not the fantasy imagination of stocks and currency, early adopters usually die trying to push the limit of new technology. or break their legs. or get radiation poisoning. early adopters usually die brutal deaths of martyrs. or get some horrible tropical disease. or are killed by natives.

your perspective is very narrow and blinding you to the hopeful benefit of grins goals. I’m sorry you lost money, but like you said, you really failed to do some pretty basic personal math.

I’m going to stop commenting or replying to complete nonsense blanket statements of fact with no actual facts or examples or data to back that up.

It’s really disappointing that supposedly “smart people” give such ignorant responses. Not just ignorant but lazy too. Elitism at it’s best I suppose.

I knew coming on this forum to discuss this, I would face skeptics since this is a •Grin Forum. It’s going to be hostile environment for anyone who disagrees with any decision made by the Grin council. And sure enough, they’ve all come out of the wood work to attack my observations and defend the emission policy. No surprise there.

In any case, you guys can all gang up on me all you want with baseless, often Inaccurate, unscientific generalizations not based on reality or anything really. Just pull that crap out of thin air cuz you think it helps your line of thinking or helps your argument. Maybe those who supported the current emission schedule just didn’t want to admit they made a mistake with the emission policy. Maybe they don’t even want to entertain the possibility that it was a mistake. In the end, it just exposes your ignorance.

Bottom line: continue to believe what you want to. You can live in your own fantasy world. Grin’s infinite inflation decision is not helping early adoption or any kind of widespread adoption. I stand by my statement. You can read more about my position in several posts on this thread. I’ve made my analysis thoughtfully and based on facts and just plain common sense. I can speak for myself and I certainly would not be inclined to adopt or hold anything that will lose 99% of its value in the short or long term. People who defend the emission policy have said “stop worrying about inflation or price”. Well, you know what? Inflation matters. Price matters.

You speak of facts and science, yet all you do is scream people down with words of belittlement while at the same time trying to play the victim. Get a mirror and take a long hard look at it.

How would you know I am screaming down at you? Do you have my phone bugged or something? Posting on this forum, I have not used any foul language or violated any terms and conditions of this forum. Stop making accusations. I have not screamed as it is not even possible to do so on a text based forum.